综合国力的测算指标与方法

当代世界各国综合国力的水平较之过去已经有了巨大的发展,综合国力的体现或显现已不像原来那么简单,而是各方面因素的全面体现。综合国力不单是指某一种力量或因素,而是多种因素或各种因素的综合。因而“综合”几乎成为研究综合国力的最基本的方法。采用何种综合定量的方法能够准确而充分地反映综合国力的状况或水平,对于这一问题目前并没有一个肯定的答案,或没有得到根本的解决。但是在广大学者对综合国力的研究过程中,已经提出或建立了一些比较简单易行的定量方法。随着对综合国力研究的不断系统和不断深入,这一问题将会逐步得到解决。

1. 德国富克斯等人的“三要素综合国力方程”

“三要素综合国力方程”:Mt=[(Ms)t+(Me)t]/2

其中Mt为t时期的国力指数,(Ms)t和(Me)t分别为t时期的钢产量指数和能源指数。其中,Ms=Pa·Sb,Me=Pa·Eb,Pa、Sb、Eb分别为人口、钢产量和能源产量。

2. 美国克莱因(R·S·Cline)的“现代综合国力方程”

“现代综合国力方程” :PN = (C + E + M)×(S + W)

其中PN为综合国力指数;C为基本实体,由人口和领土面积构成;E为经济实力,由GDP、能源、关键性非燃料矿物、工业生产能力、食略核力量和常规力量之和表示;M为军事实力,用一国所拥有的战标和要保护的国家利益 ;S为战略目标,是指在国际环境中要达到的政治目品生产和对外贸易等 6大类指标构成; W为追求国家战略的意志,是指一个国家动员其国民支持政府的国防和外交政策的能力。国力方程等式右边的各项指标取值均按评分法来确定。

尽管克莱因的提出的国力方程模式是静态的,并对各指标的评分标准也未作出有说服力的解释,但是他却为后来的综合国力定量研究提供了一个系统评估的分析框架。

3. 小约瑟夫· S·奈的“软、硬实力”评估模式

1990年美国哈佛大学教授小约瑟夫· S·奈(Josph S. Nye)在其撰写的一篇题为《仍是竞赛中的强者》的文章中,全面系统地分析、阐述了国家实力的概念和美国在全球的强国地位的现状和发展态势,并进一步指出,一个国家的实力由“软实力”和“硬实力”两部分组成。其中“软实力”包括国家凝聚力、文化被普遍接受的程度和参与国际机构的程度;“硬实力”包括基本资源、军事力量、经济力量和科技力量。他认为,“软实力”与“硬实力”具有同等的重要性。根据“软、硬实力”评估模式,采取“强、中、弱”3个等级的定性定量测评法, 他对当时主要国家和地区的综合国力进行了测算,其等级总和排序是:美国 (七强 )、欧洲 (五强、一中、一弱 )、日本 (三强、三中、一弱 )、中国 (二强、四中、一弱 )。

4. 日本综合研究所的国力评估

1987年,日本经济企划厅综合计划局委托日本综合研究所进行了综合国力基础调查。在其出版的《日本的综合国力》一书中,提出了由国际贡献能力、生存能力和强制能力3个层次立体构建的综合国力评估体系。国际贡献能力是指积极促进国际组织的建立和发展并以此为国际社会的进步作出贡献的能力;生存能力是指当一个国家在出现国内外危机时能够自保生存的能力;强制能力是指一国按照本国的意志来强迫他国改变行动的能力。调查采用了(Delphi)方法,使用了15个构成要素,拟订了综合国力评价指标108个,实际入选70个。该国力测度模式以经济实力为基础,以科技实力为重点,以国民意志为支柱,以对外关系为突破口,来反映和衡量当代综合国力竞争的基本特征和发展趋势。

5. 日本学者福岛康仁的修正国力方程评估

当代日本学者福岛康仁则在克莱因数学模式的基础上,对某些变量的内涵略作改动,提出了一个修正的“国力方程”, 其公式为

P = (C + E + M)×(G + D)

其中

C = 人口 + 领土 + 自然资源

E = (GNP + 人均GNP + GNP实际增长率) + ( 工业、农业、商业实力之和 )

M为军事实力,G为国内政治能力,D为国家外交能力。福岛康仁采用其建立的国力方程,对七个国家进行了计算和排序。

6.考尔、考克斯和杰考伯逊等学者的研究方法

考尔、考克斯和杰考伯逊等学者对综合国力进行了定量研究。考尔将国力要素分解为领土(面积)、人口、钢消费量、标准能源消费量、GNP、总军事力量等6个基本指标,其设定的指标标准数值见注释专栏2.4。考尔对国力进行测定所使用的指标虽然只有6个,但却是国力研究中公认的核心指标,其测定方法也简便易行,故应用起来比较方便和简单。

考克斯和杰考伯逊等学者则选取了GNP、人均GNP、人口、核能力、国际威信等5个指标对世界主要国家的综合国力进行了测算和排序。考尔测定综合国力的方法是:①计算各国在指标数值占世界总计的比重;②根据给定权数对各指标所计算的比重进行加权;③将各加权指标进行综合并据此对各国国力进行排序。

7. 丁峰峻的综合国力质量公式

丁峰峻在1987年发表了《综合国力论——2000年我国国家发展战略刍议》一文,其中提出了综合国力质量公式,即

综合国力 = 软国力×硬国力=(政治力+科技力+精神力)×[R(自然力+人力+经济力+国防力)]

其中自然力是指一个国家的自然条件和自然资源状况,可以用国土面积(总面积、可耕地面积、地理位置)和矿藏资源(总量、种类、开采难度、自给能力等)衡量;政治力是指一个国家的政治力量,包括政治制度、政治体制以及国家领导人的决策和领导能力等;R为硬国力的结构系数,表示硬国力各组成部分之间的相互比例关系,反映硬国力系统的结构。如果硬国力各组成部分结构合理,则R大于1,其硬国力总量即大于各部分之间的代数和;如果结果不合理,则R小于1,其硬国力对国力的贡献则小于各部分之间的代数和。

8.张文奎的综合国力模式

张文奎认为综合国力的划分,在传统的基础国力以外,还应划分“人均国力”、“地均国力”,以减弱单靠人口众多和土地广大而增加国力得分。所以“综合国力”是基础国力、人均国力和地均国力三者相加的国力。这样就可以从总量和人均量两个方面,进一步比较全面和深刻地认清世界各国的真正实力。可见国力类型的划分在理论上与实践上都有重大意义。最后,他归纳出如下综合国力模式:

Z×G = J + R + D

其中Z·G为综合国力,J为基础国力、R为人均国力,D为地均国力。

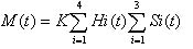
9. 黄硕风的综合国力动态方程

黄硕风根据系统论、协同论和动力学原理,建立了生存力、发展力、协调力基础上的综合国力动态方程模型:

式中M(t)为t年度的综合国力值,K为协调发展系数;Hi(t)表示国力的“硬件”部分,包括物质形态的构成要素,即人口面积、科技能力、经济能力和军事能力;Si(t)表示国力的“软件”部分,包括精神和智力形态的构成要素,即国家战略目标,国家领导体制和国民意志。K为协调系统,包括有关国家领导协调统一的诸要素。该方程包括了30个子方程。约150个指标,使用了1986年的数据对世界主要国家的综合国力进行了测算。

10. 于宏义和王佑棣的四维向量综合国力测度模式

于宏义和王佑棣提出了功能(Function)、规模(Dimension)、结构(Structure)、水平(Level)的四维向量的FDSL(NS=F(F.D.S.L)综合国力测度模式,并对1985年主要国家的国力进行了排序。

11. 海平、运平、王景涛等设计的综合国力模型体系为

综合国力 = 基本实体×物质形态国力×精神形态国力

= 资源力×(经济力 + 科技力 + 军事力) ×(政治力 + 文教力 + 外交力)

简化为

CNP = CM×(EC + ST + MC)×(PC + CE + DC)

由于各项因素对综合国力的贡献大小不同,所以在每项因素前需填表示权重的重要性系数。即

CNP=CM×(K1·EC+K2·ST+K3·MC)×(K4·PC+K5·CE+K6·DC)

其中 K1 + K2 + K3 = 1 K4 + K5 + K6 = 1 0<K1<1

各个实力因素的取值以美国的量值为指数标准值进行相应的计算并比较取值。

12. 朱喜安、肖腊珍设计的综合国力模型体系

朱喜安、肖腊珍设计的综合国力模型体系为:

综合国力 = (资源 + 经济活动能力 + 国际竞争能力 + 科技能力 + 可持续发展水平 + 社会发展程度 + 国家强制力 + 外交能力)×(战略目标 + 追求国家战略意志 + 民族凝聚力)

简化为

CNP =(C + E + I + K + X + S + CT + W)×(R + O + J)


关闭窗口